Avoiding Monsoon Maladies
Heavy rains directly and indirectly cause disease and death in cities like Mumbai. The death rates are higher in years with higher rainfall and every year, they are higher during the rainy season than other seasons, disproportionately in slum dwellers and low-income people.
The Book

The Detailed 15-Point Guide to Live Long, Healthy

Audio
Soundcloud
YouTube
A YouTube version of the audio is also now available here.
Text
The 9th point in the 15th point guide is managing the exposome
9. Address abnormal environmental exposures (your exposome) and stressors at a personal level (air pollution, noise pollution, extremes of temperature, digital noise, accidents - intended and unintended, management of incidental findings when asymptomatic) - daily, one time
- Stay at home on highly polluted days if possible. Use air purifiers at home to improve the air quality and to reduce high systolic blood pressure. Extreme exercise on days with high AQI outdoors may be avoided, but the data on this is not definite.
- Avoid extremes of temperature exposure. Reduce exposure to extremes of heat and cold and protect yourself as best as possible in such environments.
- Try not to live next to railway tracks or main roads with high volume traffic. If you don’t have a choice, soundproof your house as much as possible.
- Wear earphones with some noise cancellation like the AirPods Pro in loud areas such as weddings, concerts, especially if indoor.
- Set limits to the time spent on social media including WhatsApp - not more than a total of 1-2 hours per day, not more than 30 minutes per session, etc. Don’t get into arguments or debates with people online. Most of this is just noise (digital noise). Aim for digital minimalism.
- Avoid being in road accidents at all costs. In India, riding a two-wheeler is the most common cause of a fatal road accident, followed by being a pedestrian. Use safe practices to avoid being in a road accident and to mitigate the risk of injury and death, if you do get into one, e.g. wear a seatbelt at all times, even if you are in the backseat being driven.
- Recognize and manage suicidal thoughts in us and those around us. Understand the causes, how to identify red flags and how to help and seek help.
- Say no to unnecessary procedures and surgeries for incidental findings when asymptomatic, e.g. preventive gallbladder surgery for silent gallstones.
- If any of your tests mention "fatty liver" or hepatic steatosis, talk to your doctor about treatment with GLP-1 receptor agonists like semaglutide/tizepatide.
Our exposome is what we are exposed to in our daily lives and is an important part of what keeps us healthy or not. The air around us, noise pollution, extremes of heat and cold, the state of the roads and our chance of being injured while walking or driving, are all factors that determine our healthspan and lifespan. Unfortunately, we do not really have any control over these, except to adjust our behavior to reduce their adverse impact.
While it would have been more appropriate to discuss monsoon-related issues during the rainy season, this amazing paper by Tom Bearpark and colleagues was just published in Nature [1] and I thought it best to talk about it now, than next year.
It discusses the impact of rainfall on deaths in Mumbai at a granular, PIN code level, covering the period from 2006 to 2015. If they had included 2005, it would have probably skewed the data because of what happened on Tuesday 26 July 2005 when Mumbai received more than 944 mm of rain and more than 1000 people lost their lives directly or indirectly as a result.

The first takeaway from this article, which is apart from the rainfall data, is this amazing image, tucked away in the Supplementary section, which highlights the overall death disparity in Mumbai based on the residential PIN code.

In 2015, a person living in Mankhurd-Govandi, in the slum area had an average life expectancy of just 40.3 years, compared to a person living in Breach Candy, where it was 73.6 years, a difference of more than 30 years. Dharavi had a slightly better life expectancy by 6 years over Mankhurd-Govandi, which is not saying much. While things have improved because the life expectancy improves every year, except for a slight downward blip during Covid, clearly it matters where you live in Mumbai, because even if the overall life expectancy improves in every PIN code, the disparity does not change.
There is obvious reverse causality…it is not the place where you live that hastens your death, but the circumstances that make you live in such a place because you can’t afford to live in a more healthy area, which also means less access to good healthcare and issues with sanitation, clean water, etc. When and where we live have a direct impact on our health.
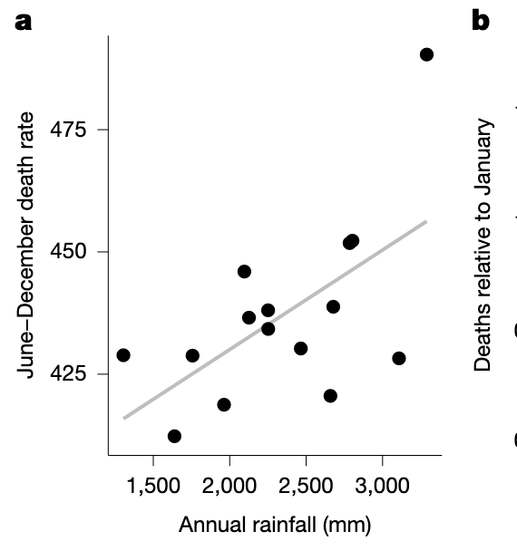
Coming back to the main thrust of the paper. Rainfall and deaths in Mumbai…the data is so compelling. In years with higher rainfall, the death rates are higher as the first graph shows.

Within any year, the deaths are higher during the monsoons than any other period, including hot summers, as the 2nd graph shows.

The effect of one day of heavy rainfall on deaths can last for almost 5 weeks, because diseases like diarrhea, dengue, malaria, typhoid and leptospirosis take that much time to affect people and then cause death.
Slum dwellers and low income people are more affected because they live in neighborhoods more prone to flooding and therefore the adverse effects of the heavy rains, coupled with other poor health parameters. This is intuitively a no-brainer.
They also show the relationship of high tides during periods of high rainfall because of the push back from the sea, which is also something we know about, but now we have death data that proves why this is so important and relevant.
So what does this mean for you and I?
Most of us should know and I am sure already know our way around the city during heavy rains and would have plans and backup plans, including working from home, using roads that don’t flood or traveling during times with less traffic. The best solution is really to stay home.
Wading through rainwater or flood waters increases the chance of water-borne diseases, the worst being leptospirosis. If you ever get stuck then please speak to a doctor if you have had to go through anything above ankle deep water. I once took a prophylactic course of doxycycline, when I walked home 11 km from work through thigh high flood waters.

The rains also bring mosquito borne diseases like malaria, dengue and chikungunya and it makes sense to increase mosquito control measures with whatever works best for you. Hopefully, some day, all 3 vaccines will be available in India to help reduce our risk of disease.
Like with air pollution and extremes of heat and cold, it is important to be aware of our surrounding when it rains heavily. Check the tides, the weather warnings, the advisories from the Govt and plan your day accordingly.
Footnotes
1. Bearpark T, Rode A, Patankar A. Mortality impacts of rainfall and sea-level rise in a developing megacity. Nature [Internet]. 2025 Nov 12 [cited 2025 Nov 18]; Available from: https://www.nature.com/articles/s41586-025-09730-4
Atmasvasth Newsletter
Join the newsletter to receive the latest updates in your inbox.
